随机梯度下降分类(带参数调优)使用文档
| 组件名称 | 随机梯度下降分类(带参数调优) | ||
|---|---|---|---|
| 工具集 | 机器学习 | ||
| 组件作者 | 雪浪云-墨文 | ||
| 文档版本 | 1.0 | ||
| 功能 | 随机梯度下降分类(带参数调优)算法 | ||
| 镜像名称 | ml_components:3 | ||
| 开发语言 | Python |
组件原理
带参数调优给定参数的范围,在某个空间搜索最优参数,并得到最终的训练模型。
梯度下降法,是一种基于搜索的最优化方法,最用是最小化一个损失函数。梯度下降是迭代法的一种,可以用于求解最小二乘问题(线性和非线性都可以)。在求解机器学习算法的模型参数,即无约束优化问题时,梯度下降(Gradient Descent)是最常采用的方法之一,另一种常用的方法是最小二乘法。在求解损失函数的最小值时,可以通过梯度下降法来一步步的迭代求解,得到最小化的损失函数和模型参数值。
在直线方程中,导数代表斜率,在曲线方程中,导数代表切线的斜率。导数代表着参数单位变化时,损失函数J相应的的变化。通过上面图中的点可以发现,该点的导数为负值,所以随着参数的增加,损失函数J减小,因此导数从某种意义上还可以代表方向,对应着损失函数J增大的方向。
综上,如果最小化一个函数,我们就需要得到导数再取个负数,并且再乘以一个系数,这个系数通常叫做步长或者叫学习率(Learning rate, Lr)。

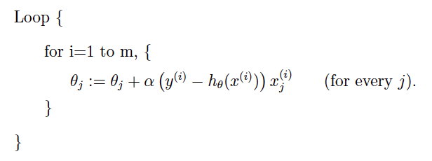
随机梯度下降:在每次更新时用1个样本,可以看到多了随机两个字,随机也就是说我们用样本中的一个例子来近似我所有的样本,来调整θ,因而随机梯度下降是会带来一定的问题,因为计算得到的并不是准确的一个梯度,对于最优化问题,凸问题,虽然不是每次迭代得到的损失函数都向着全局最优方向, 但是大的整体的方向是向全局最优解的,最终的结果往往是在全局最优解附近。但是相比于批量梯度,这样的方法更快,更快收敛,虽然不是全局最优,但很多时候是我们可以接受的,所以这个方法用的也比上面的多。下图是其更新公式:

输入桩
支持单个csv文件输入。
输入端子1
- 端口名称:训练数据
- 输入类型:Csv文件
- 功能描述: 输入用于训练的数据
输出桩
支持sklearn模型输出。
输出端子1
- 端口名称:最佳参数的模型
- 输出类型:sklearn模型
- 功能描述: 输出训练好的模型用于预测
参数配置
惩罚函数
- 功能描述::正则项
- 必选参数:是
- 参数样例:多选
- 样例含义:这个参数在 none、l1、l2、elasticnet中选取最优值
alpha
- 功能描述:用来乘以正则项的常数
- 必选参数:是
- 参数样例:0,1
- 样例含义:这个参数从0到1随机取值
最大迭代次数
- 功能描述:模型训练时的最大迭代次数
- 必选参数:是
- 参数样例:range(10,100)
- 样例含义:这个参数取10-100之间的数值
停止标准
- 功能描述:算法停止的标准
- 必选参数:是
- 参数样例:0,1
- 样例含义:这个参数从0到1随机取值
epsilon
- 功能描述:epsilon_insensitive损失函数中的epsilon参数
- 必选参数:是
- 参数样例:0,1
- 样例含义:这个参数从0到1随机取值
学习率变化策略
- 功能描述:求解的精确度
- 必选参数:是
- 参数样例:多选
- 样例含义:这个参数在constant、optimal、invscaling、adaptive中选取最优值
初始学习率
- 功能描述:初始学习率
- 必选参数:是
- 参数样例:0,1
- 样例含义:这个参数从0到1随机取值
逆标度学习率的指数
- 功能描述:逆标度学习率的指数
- 必选参数:是
- 参数样例:0,1
- 样例含义:这个参数从0到1随机取值
测试数据比例
- 功能描述:测试数据比例
- 必选参数:是
- 默认值:0.2
搜索次数
- 功能描述:搜索次数
- 必选参数:是
- 默认值:100
需要训练
- 功能描述:该模型是否需要训练,默认为需要训练。
- 必选参数:是
- 默认值:true
特征字段
- 功能描述:特征字段
- 必选参数:是
- 默认值:(无)
识别字段
- 功能描述:识别字段
- 必选参数:是
- 默认值:(无)
使用方法
- 将组件拖入到项目中
- 与前一个组件输出的端口连接(必须是csv类型)
- 点击运行该节点
